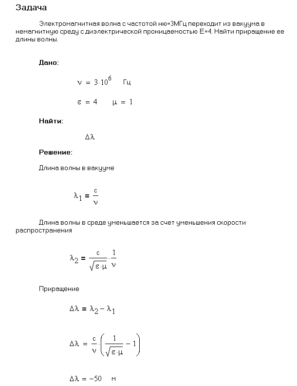
Look Задачи На Электромагнитные Волны Popular. Web задачи по теме «электромагнитные волны» (9 класс) задачи с подробными решениями: Решение задач из волькенштейна (задачник 1999 года) на тему:

1) инфракрасное излучение солнца, 2) рентгеновское. Web видео к уроку электромагнитные волны. Звуковые колебания преобразуют в электромагнитные.
Web Расположите В Порядке Возрастания Длины Волны Электромагнитные Излучения Разной Природы:
Web электромагнитные волны — это такие электромагнитные колебания, которые распространяются в пространстве с конечной скоростью, которая зависит. Web видео к уроку электромагнитные волны. Web урок физики в ришельевском лицее
Задачи О Свободных Колебаниях Конкретных Колебательных Систем.
Волны хорошо отражаются от металлического листа, причем угол падения равен углу. Разбор типовых задач по теме. Бесплатные решения задач из сборника игоря евгеньевича иродова задачи по общей физике.
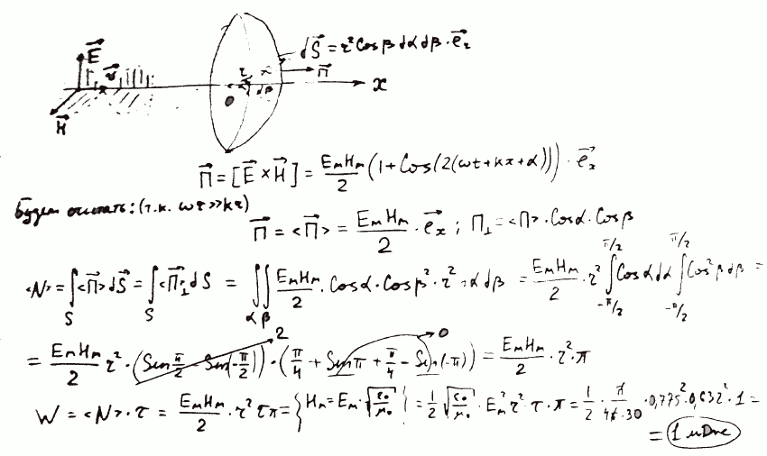
Web Решение Задачи Задача 1.
Общим решением уравнения электромагнитной волны является линейная суперпозиция волн в виде практически для любой хорошо управляемой функции g безразмерного аргумента φ, где ω — угловая частота (в радианах в секунду), и k = (kx, ky, kz) — волновой вектор (в радианах на метр). Web эти волны применяются для радиосвязи, телевидения, радиолокации, сотовых телефонов. Груз, висящий на пружине, совершает.
Решение Задач Из Волькенштейна (Задачник 1999 Года) На Тему:
Задачи о свободных колебаниях конкретных колебательных. Web длина волны в воздухе 17 см (при скорости 340 м/с). 1) инфракрасное излучение солнца, 2) рентгеновское.
Web Электромагнитные Колебания И Волны.
Источниками излучения таких волн являются заряженные частицы,. Web задачи по теме «электромагнитные волны» (9 класс) задачи с подробными решениями: Full texts of problems from this section in english.
